服務熱線:15195518515微 信:15195518515
郵箱號碼:1464856260@qq.com
網 址:http://www.0511tao.com
地 址:淮安市金湖縣理士大道61號
智能電磁流量計選型參數
發布時間:2021-04-25 08:17:15??點擊次數:1543次
智能電磁流量計,是根據電磁感應原理,通過導電流體流經外加磁場時感生的電動勢,來測量導電流體流量的一類儀表產品。
智能電磁流量計的測量管是內襯為絕緣材料的非導磁合金管,兩只電*與軸流方向垂直安裝,電*頭與內管表面平齊。當勵磁線圈由雙向進行方波脈沖勵磁時,即產生一個磁感應強度為B的磁場。
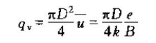
有一定導電率的流體流過測量管,切割磁力線感應產生電動勢E。當導電流體以平均流速V(m/s)通過這根內徑為D的測量管時,根據公式:E=BVD,即可推導出管道的體積流量為:

V為管道截面的平均流速。
由上式可知,體積流量Qv與感應電動勢E和測量管內徑D成線性關系,與磁場的磁感應強度B成反比,與其他物理參數無關。

一、智能電磁流量計的性能特點
★ 適合于所有電導率大于5μS/cm的液體流量檢測,電導率的變化不影響性能的改變。
★ 智能電磁流量計具有長期的高測量精度,實際不受流體物理特性的影響,測量準確度可達1.0級、0.5級。
★ 智能電磁流量計無機械可動部件,平時無需維護。
★ 智能電磁流量計按0~10m/s范圍自動設定,無需更改測量量程。
★ 智能電磁流量計所有與被測介質接觸的部件均具有良好的抗腐蝕性和耐磨性,適用范圍廣。
★ 在測量含有油脂的介質或能在電*表面沉積覆蓋一層非導電物質的介質時,可選用可調換(擦洗)式電*。
★ 采用集成電路消除勵磁切換時的干擾,利用勵磁電流補償方法使流量計的穩定性達到*佳狀態。
★ 采用高效率、高穩定度的寬輸入范圍、多組別全隔離式開關電源(DC:18V~36V,AC:85V~ 265V)。
★ 設計有豐富的輸出接口,便于各種應用場景的使用。
1) 4~20mA電流量輸出;
2) 可設脈沖量輸出;
3) RS485接口;
★ 具備自檢功能;大屏幕四行中文高清晰LCD背光顯示;斷電時,EEPROM可保護設定參數和累計值;友好的中文界面,操作方便;提供傳感器五段非線性修正功能;具有平均流量自動運算功能,便于儀表的標定。
二、智能電磁流量計的正確選型
正確的選型對于智能電磁流量計的應用至關重要,*先必須根據被測流體的參數選擇合適的口徑、內襯和電*材料,其次根據用戶對流量計的要求選擇儀表外殼防護等級和輸出功能。據有關數據顯示,儀表在實際使用中有2/3的故障是因錯誤選型造成的,需特別注意。選型工作一般包括以下幾個部分, 即:
(1) 收集被測流體的參數
流體名稱、*大/*小流量、*高壓力、*高/*低溫度、流體電導率、流體對儀表的磨損性與腐蝕性、是否有回流(反向流)出現、管內是否出現負壓等。
(2)流速和口徑與測量精度的關系
智能電磁流量計測量精度與口徑和流速有關,流速大精度就會高,反之流速越小精度就越低,一般可測量的*低流速為0.1m/s(即該流速可保證測量精度)。
(3)參照"流量計口徑與流量范圍對照表”
*小與*大流量對應的流速為0.1~10m/s
流量公式為Q=0.002826VD2
式中Q—流量m3/h, V—流速m/s,D—口徑mm

可以根據表中的流量范圍選擇合適的流量計口徑:
★測清潔水時,經濟流速是1.5~3m/s,此時管損小,泵耗電量低;
★測易結晶結垢的液體時,適當提高流速,以>3m/s為宜,流速高起到自清掃作用,從而防止液體粘附在管壁和電*上;
★測礦漿等磨損大的流體時,應適當降低流速,以<2m/s為宜,以降低介質對內襯和電*的磨損;
★實際應用中管道流體流速高于7m/s的較少,超過10m/s的則更為罕見。
(4)電*材料的選擇
智能電磁流量計中只有電*與被測介質接觸,起著傳遞感應電壓的作用。
合格的電*材料不允許產生腐蝕,也不允許產生電*表面效應。

【備注】
1. HB不耐硝酸腐蝕,對于濃度大于10%的鹽酸和硫酸鋁會產生電*表面效應,使流量計輸出不穩定。
2. 鉭不會被水腐蝕,但與水接觸容易被氧化,產生電*表面效應,生成絕緣層,使流量計輸出不穩定。
3. 鉑電*對鹽酸有良好的耐腐性,但測量濃度大于10%的鹽酸時,流量計輸出波動會很大。鉑電*用于測量低壓、雙氧水時,由于電*表面效應會產生氣霧,阻礙電氣通路,使流量計輸出不穩定。
(5)內襯材料的選擇
根據被測介質的腐蝕性、磨損性和溫度來選擇內襯材料。




