服務熱線:15195518515微 信:15195518515
郵箱號碼:1464856260@qq.com
網 址:http://www.0511tao.com
地 址:淮安市金湖縣理士大道61號
在冷凝水流量計量中的流量計的選型應用分析
發布時間:2021-09-11 03:02:07??點擊次數:1651次
摘要:在氧化鋁生產過程中,其衍生品冷凝水流量計量一直是一個值得探討的話題,多年以來,不同的設計人員都采用不同的測量方式,各種測量方式測出的數據也不盡相同,到底那個數據比較準確呢?本文選擇幾種常見的測量方式,并從原理上、使用效果上以及維護情況等幾方面進行比較,然后得出結論,指出冷凝水流量計量的相對比較好的方式。
1、引言
在氧化鋁生產工藝中,由飽和蒸汽間接加熱氫氧化鋁礦漿或堿液,以促進礦漿和堿液充分反應,蒸汽降溫形成冷凝水,好水送至鍋爐房繼續生產蒸汽,壞水進入分解系統或沉降系統參加工藝生產流程。也有把冷凝水(不管好壞)送到熱水槽,儲存起來沖洗設備用,用的時候再通入蒸汽繼續加熱。不管冷凝水作什么用途,都要進行計量,以作為各車間成本核算的一個依據。計量冷凝水時,存在很大的爭論,各種計量方法都有,并且都能測出數據,由于冷凝水量在生產過程中屬于“雞肋”,故量準不準沒有引起重視,作為一個檢測技術工程師,有責任把該數據弄準確。
2、蒸汽冷凝水的來源
2.1 溶出二次冷凝水
為實現氫氧化鋁礦漿在壓煮器內與堿液充分反應,一般在壓煮器蒸汽套內通入飽和蒸汽,通過蒸汽套管間接加熱礦漿,幾個壓煮器串聯起來組合成壓煮器組,飽和蒸汽也串聯加熱各級壓煮器,*后末級壓煮器出來的二次蒸汽通過冷凝水罐冷凝后形成冷凝水。此過程中,均有可能礦漿進入蒸汽管道(例如壓煮器破損、堿液混入蒸汽等),這就需要在冷凝水出口管設置一個電導率計檢測冷凝水的電導率,好水送入鍋爐房,壞水送入熱水槽。
2.2 蒸發二次冷凝水
為平衡氧化鋁生產過程中的水量和排出雜志鹽類,使堿液濃度達到化學反應的*限濃度,在管式降膜蒸發器管層通入堿液原液,在殼層蒸汽套內通入飽和蒸汽,通過蒸汽套間接加熱堿液,幾個管式降膜蒸發器串聯起來組合成蒸發器組,每一個蒸發器都配帶一個冷凝器,飽和蒸汽也串聯加熱各級蒸發器,Ⅰ效管式降膜蒸發器出來的冷凝水較為干凈,稱之為新蒸汽冷凝水,其余各級蒸發器出來的冷凝水均有可能含有堿分子而形成壞水,稱之為二次冷凝水,好水壞水的識別也是通過設置電導率計來檢測的,同樣好水送入鍋爐房,壞水送入熱水槽。
不管是溶出來的冷凝水還是蒸發來的冷凝水,計量時都得考慮冷凝水的純度(電導率)、溫度等參數。冷凝水罐出水管溫度大概有70~110℃左右,也就是說里面還含有大量蒸汽,此時冷凝水的屬性為汽相、液相和固相(固體為微量礦漿微粒),固相通過電導率儀可以測出。
這里,只關心該工藝過程中形成的冷凝水該如何計量。
3、冷凝水的各種計量討論
3.1 電磁流量計計量法
有的檢測工程師在做設計時,計量冷凝水采用電磁流量計,理由是冷凝水含有堿液或礦漿微粒,電磁流量計的可測量介質電導率可以低至5μs/cm,溫度可達到80℃甚至更高,精度可達到±0.2~0.5%,測出的流量為體積流量,并且電磁流量計安裝、檢修都方便(檢修只需一段時間后清洗電*),測出的數據穩定,累積量可靠。但是不是如實地反映冷凝水真實的流量無從考察。
電磁流量計測量原理是法拉*電磁感應原理,在電磁流量計中,測量管內的導電介質相當于法拉*試驗中的導電金屬桿,上下兩端的兩個電磁線圈產生恒定磁場,當有導電介質流過時,則會產生感應電壓(工作原理如圖1所示),管道內部的兩個電*測量產生的感應電壓,測量管道通過不導電的內襯(橡膠、特氟隆等)實現與流體和測量電*的電磁隔離。

設:E為感應電動勢;B為感應強度(T);D為測量管內徑(m);V為平均流速(m/s);S為管道截面積;K為流量常數

由于冷凝水固有特性,在溶出壓煮器和蒸發器無損壞的情況下,料漿和堿液不會混入冷凝水管道,冷凝水中無導電介質,冷凝水屬性為液相和汽相,此時,電導率儀測出的值小于5μs/cm,感應電動勢為零,電磁流量計測出的數據是閃爍亂跳的數值,該數值不能表達真實的測量值。
3.2 差壓式流量計計量法
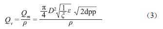
設計過程中也有采用差壓式流量計計量冷凝水流量的,差壓式流量計通常有靶式流量計(如德爾塔巴流量計、賽德巴流量計、阿牛巴流量計等)、孔板流量計、V錐流量計、噴嘴流量計等,該類流量計可測量汽相、液相或汽液二項性的任何介質,測量原理為伯努利方程,測出的流量為質量流量,其通用流量計算公式如下:
設Qm為質量流量;Qv為體積流量;ζ為流量計探頭的阻斷系數(也可為常數K);ε為流體膨脹系數;D為測量管內徑;dp為流體差壓;ρ為工況下的流體密度,則

在冷凝水測量過程中,冷凝水為不可壓縮流體,故ε為1。換算成體積流量如下:

從公式(3)可以看出,差壓式測量冷凝水流量過程中,流體流量只與流體差壓和密度有關,介質流體的密度改變,對流量值的影響是很直觀的。另一方面,為了工藝操作的方便,儀表指示值給出的是標準狀態下的體積流量,這是根據介質流體的密度換算出來的。而介質流體的密度改變使其換算關系也改變,從理論上差壓式流量計測量冷凝水是合適的,但實際上,當冷凝水中混入料漿顆粒或堿液時,冷凝水密度變化大,且礦漿固體顆粒物容易堵塞取壓探頭的取壓孔,堿液混合的顆粒物容易結疤附在探頭上,使得探頭經常要拆卸下來清洗,并接清洗次數相對電磁流量計、渦街流量計要頻繁得多。
3.3 漩渦式流量計計量法
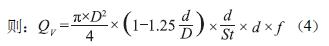
漩渦式流量計測量原理為卡門漩渦,即是在流體管道中,垂直插入一個柱形阻擋物,在其后部(相對于流體方向)兩側就會交替地產生漩渦。隨著流體向下游流動形成漩渦列,稱之為“卡門漩渦”,把產生漩渦的柱形阻擋物定義為漩渦發聲體,在一定條件下漩渦的分離頻率與流量的流速成線性關系,因而,只要測出漩渦分離的頻率,即可計算出管道內流體的流速或流量,其計算公式如下:
設Qv為體積流量;St為斯特勞哈爾數(也可為常數K);f為頻率(Hz/s);D為測量管內徑;d為迎流面寬度。

正是漩渦流量計是基于線性連續方程原理,測量與流體的性質無關,與密度、黏度等均無關,用水標定出來的流量系數同樣適用于冷凝水計量。

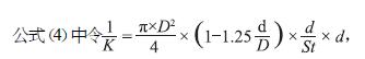
K為流量系數,含義是每升流量由幾個脈沖表示,即是P/L,經過公式變換,實際運用中的渦街流量計計算公式為:

從公式(5)可以看出,漩渦流量計的計量只與流體頻率有關系,測出的流量為流體的工況體積方,質量方和標準體積方是根據密度或壓力溫度換算出來的。旋渦流量計通常有渦街流量計、靶式流量計等,優勢是測量范圍廣,體積小,重量輕,離線標定方便,一旦結疤,清洗也方便(卸下來清洗阻擋物即可)。劣勢是測量精度低,和差壓式流量計差不多。除了上述幾種常見的計量方法,還有采用超聲波流量計計量的,早期的溶出冷凝水有采用的,主要是由于壓煮器損壞快,料漿泄露嚴重的工藝,由于科技進步快,現在的壓煮器基本不泄露,冷凝水電導率低,因此現代氧化鋁生產工藝中,冷凝水計量基本上不采用超聲波流量計。其余的計量方式不常見,這里就不一一介紹了。
4、總結
通過幾種典型的流量計的分析,再結合現場的使用情況,綜合比較下來,旋渦流量計使用效果要好得多,使用時間要長一些,建議設計過程中優先考慮使用旋渦式流量計。


