服務熱線:15195518515微 信:15195518515
郵箱號碼:1464856260@qq.com
網 址:http://www.0511tao.com
地 址:淮安市金湖縣理士大道61號
電磁流量計的參數設置方法及電磁兼容性分析
電磁流量計的測量過程不受被測介質溫度、黏 度、密度等因素影響,具有測量速度快、精度高、測量口徑寬、輸出線性度好,與被測介質不接觸,耐腐蝕、抗磨損,流體壓力損失小等優點,因而廣泛應用于造紙廠紙漿、助劑、水等流體的測量。但是,電磁流量計也有其不足,傳感器的輸出感應電動勢很小,容易受到外界電磁干擾,如何提高電磁流量計的電磁兼容性,使其能在惡劣的電磁環境正常使用是電磁流量計設計必須考慮的問題。文中以橫河公司的ADMAGAE系列電磁流量計為例,結合筆者的工程實踐,介紹有關電磁流量計的使用并分析其電磁兼容性(EMC)。
1 電磁流量計的工作原理
電磁流量計的工作以電磁感應定律為基礎,即當一個導體在電磁場中運動,并且運動方向垂直于電磁場時就會產生感應電動勢,所產生的感應電動勢的方向垂直于導體運動和電磁場運動的方向,感應電動勢的大小與導體的運動速度和磁場的磁感應強度成正比。當導電流體以平均流速V(m/s)通過一根內徑為D(m)的管子時,若管子內存在一個磁感應強度為B(T)的磁場,那么就可產生一個垂直于磁場方向和流體流動方向的電動勢E: E=DVB (V)(1)
容積流量Q為: Q= D2 V/4 (m3 /s)(2)
將式(2)代入式(1)并處理得:
E=(4B/ D) Q (V) (3)
如果B和D是常數,那么從式(3)可看出,E與Q成正比。電磁流量轉換器把電動勢E放大并轉換成標準的4~20mA的信號或脈沖信號,作為對應的流量信號輸出。
2 電磁流量計的參數設置方法及組態
流量計的參數設置(組態)有兩種方法,一是利用顯示面板上的按鍵,二是利用手持智能終端。
2.1 使用面板進行參數設定
ADMAGAE系列電磁流量計面板上常用的符號有:
(1)RED(紅) 正常工作時不亮,有報警時閃爍;
(2)定義符 定義符用冒號 : ,表示所顯示的數據正處于待設定狀態;
(3)單位顯示 顯示流量單位;
(4)顯示數據 顯示流量數據、設定數據和報警的種類;
(5)小數點 表示數據中的小數點;
(6)設定鍵 這些鍵用來改變數據顯示和設定數據的類型。數據顯示類型共有3種:流量數據顯示模式、設定模式、報警顯示模式。
2.1.1 流量數據顯示模式
流量數據顯示模式表示的是瞬時流量值和累積流量值,ADMAGAE可顯示12種類型的流量數據。進入流量顯示模式用 d1 參數來改變顯示項,詳細設定可參考流量計用戶手冊。
2.1.2 設定模式
設定模式用來檢查參數內容和重寫數據。只要按下 SET 鍵,可將該模式從正常的操作模式中調出。
2.1.3 報警顯示模式 當報警發生時,報警模式就會取代當前模式來顯示發生報警的類型,但是這種情況只是發生在當前流量顯示模式或設定模式中參數號被改變時(當正在該部數據項時,不顯示報警)。
2.2 BT智能終端設定 具有智能通信功能的儀表可與智能終端通信。橫河的智能終端有BT100、BT200等型號,簡稱BT智能終端,它們采用BRAIN協議,將1個 2mA、2.4kHz的調制信號迭加到4~20mA的模擬信號上用作信號傳輸。由于調制信號是交流信號,所以迭加不會影響模擬信號的數值。
BT智能終端與流量計的連接有兩種方式:一是直接與流量計端蓋下面的BT端子相連,這種方式適用于現場調試或流量計不具備智能通信功能的情況;二是與4~20mA直流信號線連接,BT智能終端可以連接在從控制柜到流量計信號線的任何位置,*大距離可達2km,只要保證整個回路的負載電阻在250~750 之間,就可以可靠地通信。這種方式操作者不必去現場,在控制室就可對流量計進行設置和在線監測,是使用*多的一種方式。BT智能終端采用菜單式操作,可以**顯示和修改電磁流量計的各種參數,其基本的操作有流量計自檢、量程調整、顯示方式設置、報警設置等。
2.3 電磁流量計數據設定與組態
電磁流量計是根據與流體流速相對應的微小電動勢計算出體積流量并輸出4~20mA的信號。為保證獲得正確的信號,必須設定通徑、流量量程和儀表系數3個參數,這3個參數中,通徑和儀表系數早在儀表出廠前就設定好的,因此用戶不能設定這兩個參數。用戶也可以在儀表出廠前將流量量程設定好,這種設定只有在用戶要求改變量程時才可進行重新設定。
3 電磁兼容性分析
電磁流量計的工作以電磁感應定律為基礎,產生的正比于被測流量的感應電動勢通常很小,*易受到外界電磁干擾,而它本身產生的電磁干擾很小,因此電磁流量計的電磁兼容性主要體現在它如何在惡劣的電磁環境下正常工作。在惡劣的電磁環境下,電磁耦合靜電感應是電磁流量計干擾噪聲的主要來源;被測流體介質特性產生的電化學干擾噪聲是電磁流量計干擾噪聲的*二來源;電磁流量計供電電源的電壓和頻率波動等電源干擾噪聲是電磁流量計干擾噪聲的*三來源。為滿足儀表的EMC要求,智能電磁流量計分別采用硬件和軟件抗干擾技術 [1] ,以提高電磁流量計抗干擾能力。
3.1 工頻干擾噪聲的特點及電磁流量計抗干擾技術
工頻干擾噪聲*先是由電磁流量計勵磁繞組和 流體、電*、放大器輸入回路的電磁耦合形成,其二是電磁流量計工作現場的工頻共模干擾,其三是供電電源引入的工頻串模干擾等,其產生的物理機理均是電磁感應原理。 電磁流量計勵磁繞組和流體、電*、放大器輸入回路的電磁耦合產生的工頻干擾對電磁流量計工作影響*大,而且在不同的勵磁技術下其表現的形態、特性不同,因而采取抗干擾措施也不同。在工頻正弦波勵磁磁場下,此種電磁耦合工頻干擾噪聲表現形式為正交干擾,又稱為變壓器電勢,特點是干擾噪聲幅值和工頻正弦波勵磁頻率成正比,相位滯后流量信號電勢90 ,且幅值較流量信號電勢大幾個數量級 [2] 。直流勵磁、低頻矩形波勵磁及雙頻矩形波 勵磁技術,可以基本消除正交干擾的影響。
工頻共模干擾和工頻串模干擾這兩種常見的干擾,主要是由于電磁屏蔽缺陷,分布電容耦合,電磁流量計接地不良等原因而產生,電磁流量計采用輸入保護技術、高輸入阻抗、高共模抑制比自舉前置放大器技術以及重復接地技術等提高抗工頻干擾的能力。ADMAGAE系列電磁流量計配有接地環,其作用是通過與液體接觸,建立液體接地,確?;鶞孰娢慌c被測液體相同,并且保護流量計內襯。
3.2 電化學干擾噪聲的特點及電磁流量計抗干擾 技術
3.2.1 電化學干擾噪聲的特點
(1)電化學*化電勢干擾是由于電*感生電動勢在兩**性不同而導致電解質在電*表面*化產生。雖然采用正負交變勵磁磁場能顯著減弱*化電勢的數量級,但不能從根本上完全消除*化電勢干擾。
(2)泥漿干擾是在測量液固兩相導電性流體流量時,固體顆?;蛘邭馀莶吝^電*表面時,電*表面的接觸電化學電勢突然變化,電磁流量傳感器輸出信號出現尖峰脈沖狀干擾噪聲。
(3)流體流動噪聲是在測量低導率液體(100 S/cm以下)流量時,電*的電化學電勢定期波動,產生隨流量增加而頻率增加的隨機干擾噪聲,具有類似泥漿干擾的1/f頻譜特性。
3.2.2 電磁流量計抗電化學干擾技術
電磁流量計在提高抗電化學干擾能力方面采取的措施主要是低頻矩形波勵磁和雙頻勵磁技術。低頻矩形波勵磁既具有直流勵磁技術不產生渦流效應、變壓器效應(正交干擾)的特點,又具有工頻正弦波勵磁基本不產生*化效應,便于放大信號處理,而能避免直流放大器零點漂移、噪聲、穩定性等問題的產生,有較好的抗干擾性能。
低頻矩形波勵磁雖然具有優良的零點穩定性,但在測量泥漿、紙漿等含纖維和固體顆粒的液固兩相導電性流體流量時無法克服泥漿干擾和流體噪聲干擾。研究分析表明,泥漿干擾和流動噪聲具有1/f的頻譜特征。低頻時幅值大,高頻時幅值小,如果采用較高頻率的低頻矩形波勵磁則能大大降低泥漿干擾的數量級。因此提高勵磁頻率有助于降低泥漿干擾和流動噪聲,提高傳感器輸出信號的信噪比。
綜上所述,要保證電磁流量計的零點穩定性,* 好采用低頻矩形波勵磁;為了能較準確地測量液固兩相導電性流體和低導電率流體的流量,又必須采用較高頻率的矩形波勵磁。采用圖1所示的雙頻矩形波勵磁的方法是*佳方案。
3.2.3 雙頻矩形波勵磁工作及抗干擾原理
在電磁流量計測量管內形成含有兩個頻率分量的電磁場:高頻勵磁分量不受液體干擾的影響,而低頻勵磁分量則有著*好的零點穩定性,根據高、低頻定時檢測到的各分量信號經過計算,便可得到流量信號。
雙頻矩形波勵磁測量原理如圖1所示,一個由高低頻分量迭加而成的電磁場通過勵磁線圈被施加到被測液體中,勵磁波形是在一個低頻矩形波上迭加一個高于市電頻率的矩形波而得到的波形。在產生的電動勢中,低頻分量通過一個大時間常數的積分電路獲得一個零點穩定性好的平穩流量信號。而由漿液或低電導率流體產生的低頻噪聲可被不受噪聲影響的高頻采樣電路所抑制,有著同樣時間常數的流量信號經過一個差分電路以確定流速信號的變化,把這兩種不同頻率采樣所得的信號結合起來可獲得一個穩定流速信號,該信號不受噪聲干擾,且有較高的零點穩定性。
3.3 電源干擾噪聲特點及電磁流量計抗干擾技術
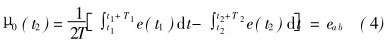
電磁流量計一般都采用工頻交流電源供電, 其電源電壓的幅值和頻率的變化都會給電磁流量計帶來電源性干擾噪聲。對電源電壓的幅值變化, 因采用多級集成穩壓, 一般而言電源電壓的幅值變化對電磁流量的測量精度影響不大。當電源電壓的頻率波動時, 雖然其波動范圍有限, 但對電磁流量計測量精度影響較大。為了解決工頻干擾問題, 實現對流體流速感應電勢 e ab 信號的準確測量, 需利用以下基本關系:
1勵磁周期為工頻周期的整數倍, 即勵磁頻率為 50/n H z( n為偶數 );
2正負勵磁下的同相位采樣。圖 2是對應低頻矩形波勵磁形式下的典型電
勢信號形式, 按上述關系在一個勵磁周期下, 若假設t 1 和 t 2 點為工頻干擾的等效干擾點, 且采樣寬度 T= T 1 = T 2 , 則 e ab 的基本算式為:
式 ( 4)從理論上說明電磁流量計的工頻干擾有可克服的途徑, 即同步采樣技術, 其方法是以同相位 ( t 1= t 2 )、 同寬度采樣 (T 1 = T 2= T )為前提的, 采樣頻率要選為工頻周期的整數倍。這樣即使混有干擾信號, 因其采樣時間為完整的工頻周期, 其平均值也為零, 干擾電壓不起作用。
4電磁流量計選型
4.1電磁流量計選型的一般原則
( 1)被測介質是否為導電液體或漿液, 由此決定是否選用電磁流量計;
( 2)被測介質的電導率決定電磁流量計的類型------是高電導率還是低電導率;
( 3)工藝要求的*大、 *小和常用流量工藝管道的公稱通徑, 決定介質的流速是否處在較經濟的流速點上, 管道是否需要變徑, *后確定流量計的口徑;
( 4)以工藝管道的布置情況, 來確定采用一體型還是分體型流量計, 以及流量計的防護等等;
( 5)根據被測介質是否易結晶、 結疤來選擇電*型式;
( 6)根據被測介質的腐蝕性來選擇電*材料;
( 7)被測介質的腐蝕性、 磨損性及溫度來決定采用何種襯里材料;
(8)被測介質的*高工作壓力決定流量計的公稱壓力;
( 9)工藝管道的絕緣性決定接地環的型式。
4 . 2 根據電磁流量計勵磁方式的的特點選型
( 1)直流勵磁型
這種電磁流量計數量很少, 只用于測量液態金屬流量, 如常溫下的汞和高溫下的液態鈉、 鉀等。
( 2)交流工頻勵磁型
較早期的電磁流量計用 50 Hz工頻市電勵磁,由于易受電磁干擾和零點漂移等原因, 現已逐漸被低頻矩形勵磁所代替。但在測量泥漿、 礦漿等液固兩相流時, 低頻矩形波勵磁方式不能克服固體擦過電*表面產生的尖峰噪聲, 而工頻交流勵磁的儀表則不存在這一缺點, 所以國內外尚有一些電磁流量計仍采用交流工頻勵磁方式。
( 3)低頻矩形波勵磁型
由于低頻矩形波勵磁方式功耗小, 零點穩定性好, 所以它是目前電磁流量計的主要勵磁方式。其波形有:“正 - 負”二值和 “正 - 零 - 負 - 零 ”三值兩種。有的電磁流量計勵磁頻率可以由用戶設定, 一般小口徑儀表用較高頻率, 大口徑儀表用較低頻率。
( 4)雙頻勵磁型
勵磁電流的波形是在低頻矩形波上疊加高頻矩形波, 主要為克服二值矩形波勵磁存在的漿液噪聲和流動噪聲, 提高儀表的穩定性和響應特性, 因此廣泛用于制漿造紙及污水處理等行業。
5 結束語
通過上面分析可知, 電磁流量計具有測量精度高、 速度快、 使用方便, 測量范圍廣、 口徑寬等諸多優點, 但同時也存在著測量輸出信號易受工頻電磁干擾, 流體電化學噪聲及電源頻率變化影響的缺點。不同勵磁方式的電磁流量計具有不同的抗干擾技術和應用范圍。正確了解各種勵磁技術的特點和不同電磁流量計的技術原理是正確使用電磁流量計的前提。


